吉林大学汽车仿真与控制国家重点实验室研究成果:基于混合神经网络的汽车运动状态估计

《汽车工程》2022年第10期发表了吉林大学汽车仿真与控制国家重点实验室研究成果“基于混合神经网络的汽车运动状态估计”一文。论文针对现有车辆运动状态估计算法严重依赖动力学模型精度且在大的质心侧偏角工况下准确性难以保障的问题, 提出了一种基于混合神经网络的车辆运动状态估计 (HNN) 算法,该算法可实现精准的无动力学模型的汽车运动状态估计,且对路面附着系数变化具有鲁棒性。
研究背景
车辆的运动状态估计主要采用基于模型的估计算法,该算法性能主要取决于车辆建模精度,当车辆运行在大侧偏工况或道路摩擦因数发生改变时,其准确性难以保障。近年来,深度学习方法尤其是神经网络算法有了很大的发展,通过利用神经网络模型来描述多种传感器信息与估计状态量之间的关系,并通过适当的模型结构和丰富多样的训练数据集,即可准确有效地估计车辆运动状态。然而,目前大多数深度学习方法未针对车辆运动状态估计问题的特点做出改进,且数据集大多来源于同一工况下多次试验采集得到的传感器时序信号,导致在特定数据集下得到的最优网络架构泛化性能较差。
研究内容
1. HNN 算法设计:基于对经典车辆动力学模型的分析,以传感器输入信号与估计量之间的主要依赖关系为依据提出了适合于表达这种联系的深度神经网络结构,设计了适合于车辆运动状态估计的混合神经网络。

图1 基于混合神经网络的汽车运动状态估计算法
2. 数据采集与模型训练:在驾驶模拟器上采集了5名驾驶员在标准工况下的驾驶数据。数据有效时长为2小时1分17秒,并对模型进行训练。

图2 驾驶模拟器数据采集过程
3. 测试验证:在仿真环境下的标准工况以及实车双移线工况下(DLC)验证该算法性能。

图3 实车数据采集方案
研究结果
1. 仿真测试 :测试工况为转向盘转角扫频输入工况。
(1) 不同车速下模型测试验证:在路面摩擦因数为1.0的条件下,对比了在不同车速3 0、 70、120 km/h下各模型的估计效果。结果表明HNN算法与真值的变化趋势一致,且其均方误差均小于其他算法。

图4 车速30km/h扫频工况下的估计结果

图5 车速70km/h扫频工况下的估计结果

图6 车速120km/h扫频工况下的估计结果
(2) 不同路面下模型测试验证:在车速为70 km/h时,对比了不同 路面摩擦因数0.85、0.5、0.3下各个模 型的估计效果(路面摩擦因数为1.0的估计结果如图5所示)。 结果表明HNN算法 在不同路面条件下对不同状态量估计的均方误差最小,且在路面条件变化时,均方误差的变化不明显。

图7 路面摩擦因数0.85扫频工况下的估计结果

图8 路面摩擦因数0.5扫频工况下的估计结果

图9 路面摩擦因数0.3扫频工况下的估计结果
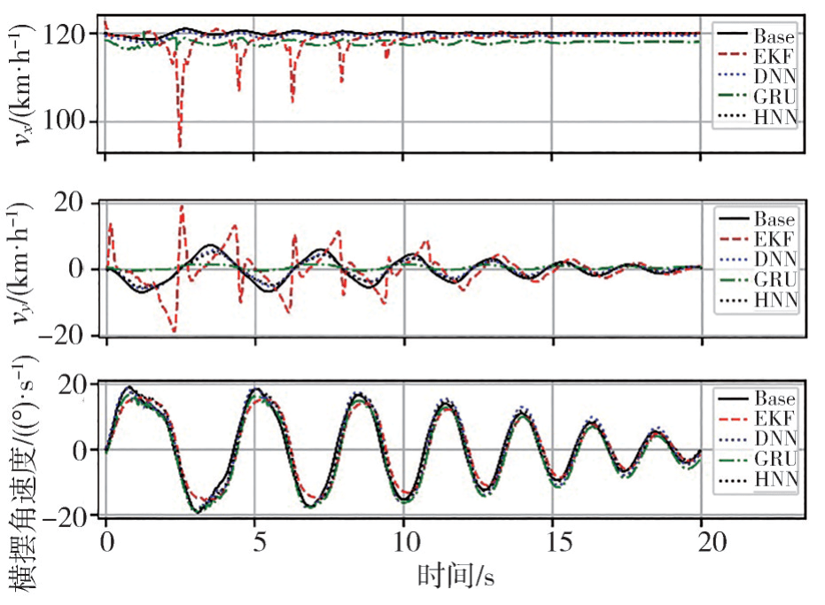
2. 实车验证:在83km/h车速DLC工况下,通过实车数据的训练,HNN 算法可很好地适应实车环境,估计性能优于扩展卡尔曼滤波算法。

图10 实车DLC工况对比
创新点和意义
论文为准确进行 汽车运动状态估计,设计了适合于表征车辆动力学特性的神经网络结构; 在不同车速、不同路面以及实车环境下对比验证了该算法的有效性;为智能汽车运动控制算法从常规线性工况扩展到非线性工况奠定一定的基础。论文具有重要的科学指导意义与工程应用价值。
扫描上方二维码,免费获取全文
关于《汽车工程》
1. 行业声誉:汽车工程领域高质量科技期刊分级目录T1级别期刊
2. 检索收录:Ei 核心
3. 首轮评审: 30工作日
4. 在线投稿:
联系我们
联系人:杨老师
电话: 86-10-50950106
邮箱: sae860@sae-china.org
《汽车工程》 2022年微网刊
2022年第1期全文获取
2022年第2期全文获取
2022年第3期全文获取
2022年第4期全文获取
2022年第5期全文获取
2022年第6期全文获取
2022年第7期全文获取
2022年第8期全文获取
2022年第9期全文获取
2022年第10期全文获取